What is MCS ?
[Go to Japanese page]
[Chemical Structure Search]
The Maximum Common Substructure/Subgraph (MCS) is the most popopular concept for generating a one-to-one atom correspondence between two molecules.  A common substructure is defined as a substructure present in two molecules with the same atom types and bond connection. The MCS are defined as the common substructures with the largest number of atoms or bonds. Various types of MCS with different restraints have been proposed so far. Among them, we will explain Connected MCS and Topologically disconnected MCS, and the related concepts, isomorphic structure and substructure.
- Isomorphic: Each atom in a molecule must have a corresponding atom in another molecule. Atom types of all of the atoms and connection of all of the atom pairs are identical.
 - Substructure:Molecule A is a part of Molecule B. In the corresponding substructre, atom types and connection of of atom pairs are identical. Typically, the molecule A is assigned as the 'Query molecule'.
 - C-MCS (Connected MCS): Maximum common substructure in Molecule A and Molecule B with the same atom types and bond connection. The substructure must be a connected graph, all the atoms belong to one connected component.
 - TD-MCS(Topologically constrained disconnected MCS):Maximum substructure in Molecule A and Molecule B with the same atom types and bond connection.  The substructure can be a disconnected graph, however, the difference in the topological distance between corresponding atom pairs must be theta or less. The topological distance is defined as number of bonds on the shortest path between two atoms.
- TD-MCS(theta=0): No difference in the topological distance between corresponding atom pairs.
 - TD-MCS(theta=1): The difference in the topological distance between corresponding atom pairs must be 1 or 0.
 
 
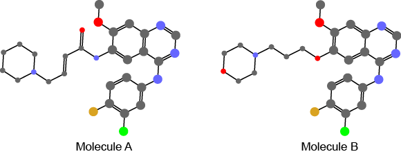
- In figures for CMCS/TDMCS, Molecule A is Dacomitib (D09883), Molecule B is Gefitinib (D01977).
 - Refference : 
Kawabata T. Build-up algorithm for atomic correspondence between chemical structures. J.Chem.Info.Model., 2011,51, 1775-1787.
 
LastModified: 2018/09/12